Prep - W7 - ACAC - HS23

Photo by Jeremy Bishop on Unsplash
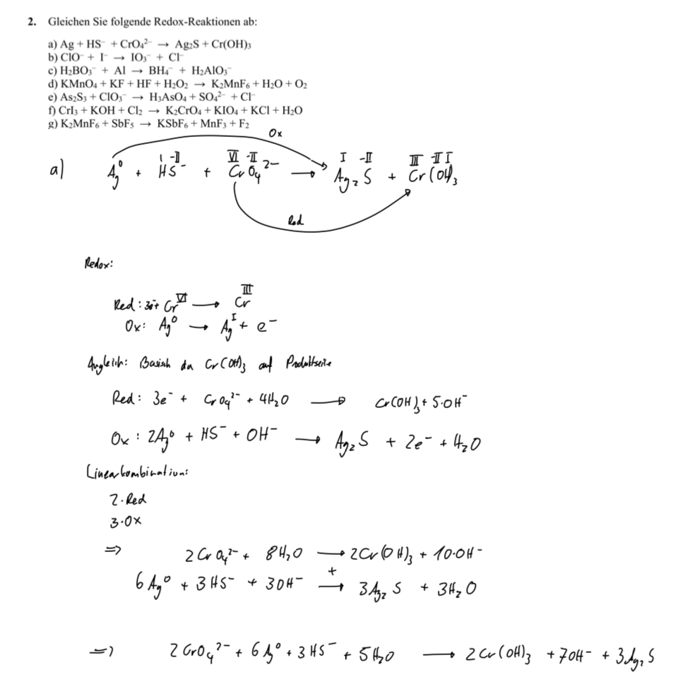
$\newcommand{\dede}[2]{\frac{\partial #1}{\partial #2} } \newcommand{\dd}[2]{\frac{d #1}{d #2}} \newcommand{\divby}[1]{\frac{1}{#1} } \newcommand{\typing}[3][\Gamma]{#1 \vdash #2 : #3} \newcommand{\xyz}[0]{(x,y,z)} \newcommand{\xyzt}[0]{(x,y,z,t)} \newcommand{\hams}[0]{-\frac{\hbar^2}{2m}(\dede{^2}{x^2} + \dede{^2}{y^2} + \dede{^2}{z^2}) + V\xyz} \newcommand{\hamt}[0]{-\frac{\hbar^2}{2m}(\dede{^2}{x^2} + \dede{^2}{y^2} + \dede{^2}{z^2}) + V\xyzt} \newcommand{\ham}[0]{-\frac{\hbar^2}{2m}(\dede{^2}{x^2}) + V(x)} \newcommand{\konko}[2]{^{#1}\space_{#2}} \newcommand{\kokon}[2]{_{#1}\space^{#2}} $ # Lektion ## Anmerkung Sillén Ich habe letzte Lektion fälschlicherweise suggeriert, dass die Seite des Glgw die PHG bestimmt. Dies ist FALSCH! Sorry für die Verwirrung. Der Grund warum dies letzte Serie möglich war, war eine rein mathematische Spielerei. Im Allgemeinen ist die PHG nur durch die zugegebenen Substanzen bestimmt. # Overview: - Relevantes Glgw/ Mehrkomponentensysteme - Resonnanzstrukturen - Oxidationsstufen - Redox-Balancing ## Relevantes Glgw Theorie des Sillén Diagramms: Das Sillén Diagramm zeigt alle Erlaubten Zustände des Systems an. Wir möchten aus diesen erlaubten Zuständen diejenigen raussuchen die unseren Anfangsbedingungen entsprechen. Mischsysteme: In Systemen mit mehreren beteiligten Spezies lohnt es sich die Reaktionen in der Lösung genauer zu betrachten. Insbesondere lohnt es sich zu betrachten wo das System ungefähr liegt. Bsp: S6A1:iii c-e **c)** $\ce{0.01M HPyr + 0.001M H2Gly}$ PHG (Unabhängig von Glgw!): $\ce{[H+] = [OH-] + [Pyr] - [H2Pyr] + [HGly] + 2[Gly]}$ -> warum konnten wir das letzte mal die andere PHG verwenden? -> Eigentlich nur ein Mathematischer Trick. Könnte hier auch gehen, das neue System ist aber komplizierter. (Wir hätten dann das System $9:1$ $\ce{HPyr: H2Pyr}$ Puffer + $\ce{HGly}$). Wir suchen jetzt den pH: $\ce{Pyr + H3Gly <=> HPyr + H2Gly <=> H2Pyr + HGly}$ - Die linke Seite ist nicht relevant da $\ce{H3Gly}$ nicht mal auf dem Diagram drauf ist - Aus dem Sillen Diagramm sehen wir das $\ce{H2Pyr}$ weniger sauer ist als $\ce{H2Gly}$ dh. $Gly$ Acidität dominiert. - Jedes $\ce{H2Gly}$ “möchte” sein proton loswerden - Welche Situation haben wir dann?   - Es ist verlockend zu sagen das Glgw liegt auf der rechten Seite   - Aber…. - Selbst wenn alles $\ce{H2Gly}$ weg reagiert ist auf Grund des Überschusses immer noch $90\%$ vom $\ce{HPyr}$ vorhanden. ($log(0.9) = -0.046$) - Unsere Suche schränkt sich also weiterhin auf den Existenzbereich von $HPyr$ ein (wir sind sogar fast schon fertig da $HPyr$ nur 2x $90\%$ beträgt) Wir vereinfachen das System: - In der bestimmten Region finden wir:   - $\ce{Gly, OH-, H+}$ vernachlässigbar - $0 = \ce{Pyr - H2Pyr + HGly}$ - Zudem ist unser System sicher saurer als nur $HPyr: pH = 7$   - $Pyr$ vernachlässigbar - $\ce{H2Pyr = HGly}$ - $pH = 5.95$ ## Aciditätsfunktion Beschreibt die Erweiterung der pH Skala zu Bereichen wo die Aktivität nicht mehr der Konzentration entspricht. ## Resonanzstrukturen Idee: Elektronen in Molekülen gehören nicht 100% zu einem Atom. Stattdessen zeichnen wir in der Regel die Struktur wo die Elektronen am meisten sind. Um zu Simulieren das die Elektronen nicht 100% an einem Ort sind nutzen wir Resonanzstrukturen. Resonanzstrukturen sind alternative (realistische) Elektronenverteilungen. Indem wir sagen dass die Moleküle zwischen den verschiedenen Formen hin und her wechseln erhalten wir die selben Trends. Wichtigerweise ist jetzt aber die Stabilität des Moleküls als eine Gewichtung der verschiedenen Resonanzstrukturen gegeben. Zudem können wir mental die Resonanzstrukturen gewichten, um ungefähre Elektronendichten zu bestimmen. Daumenregeln: - Ladungen auf Heteroatomen -> Gut - Ladungstrennung ist ok, aber weniger gut als keine Ladungstrennung - Viele valide Resonanzstrukturen -> Stabiles Molekül Arrow-pushing - Starten bei einer Bindung oder einem lone-pair. - Wenn durch neue Bindung zu viele* Bindungen vorhanden sind wird das Elektron weitergegeben Beispiele: ## Oxidationsstufen Idee: Zuordnung von Partialladungen auf Teile eines Moleküls. Dazu denken wir uns das Molekül vollständig Ionisch dh. wir müssen die Ladungen eindeutig einem Atom zuordnen (Ausnahme bei gleichen Atomen). Daumenregeln: - Bindungen zu sich selbst haben OZ 0 - O hat immer OZ -II (Ausnahmen bei Peroxiden, Fluoriden und $\ce{O2}$) - H hat immer OZ +I (Ausnahmen bei Hydriden und $\ce{H2}$) - Die gesamte OZ eines Moleküls entspricht seiner Ladung - Alkalimetalle, Erdalkalimetalle und Halogene agieren als Ionen (OZ entspricht der Ladung des Ions) - Für unklare fälle EN Tabelle konsultieren. ## Redoxreaktionen Idee: Red Ox: Reduktion Oxidation Bei der Reaktion werden Elektronen übertragen, diese Elektronen können verwendet werden um zB. Batterien zu bauen. Es werden in der Regel grosse Mengen an Energie frei. (Bestes Bsp Termitreaktion) Reaktion ist angetrieben von EN Differenzen (Atom A ‘möchte’ lieber Elektronen als Atom B) ### Vorgehen - OZ Bestimmen für alle Atome - Reduktion und Oxidation bestimmen. (RED = AUF) (OX = AB) - Anzahl Elektronen in Red bzw Ox bestimmen - Produktanalyse -> Saures oder Basisches Millieu - Ladungsausgleich der Halbreaktionen - Linearkombination anhand der Elektronen - $\ce{H+ / OH-}$ Mathematik - Ladungserhaltung und Massenerhaltung überprüfen ### Bsp: S7 A2:a