Prep - W3 - ACAC - HS23

Photo by Jeremy Bishop on Unsplash
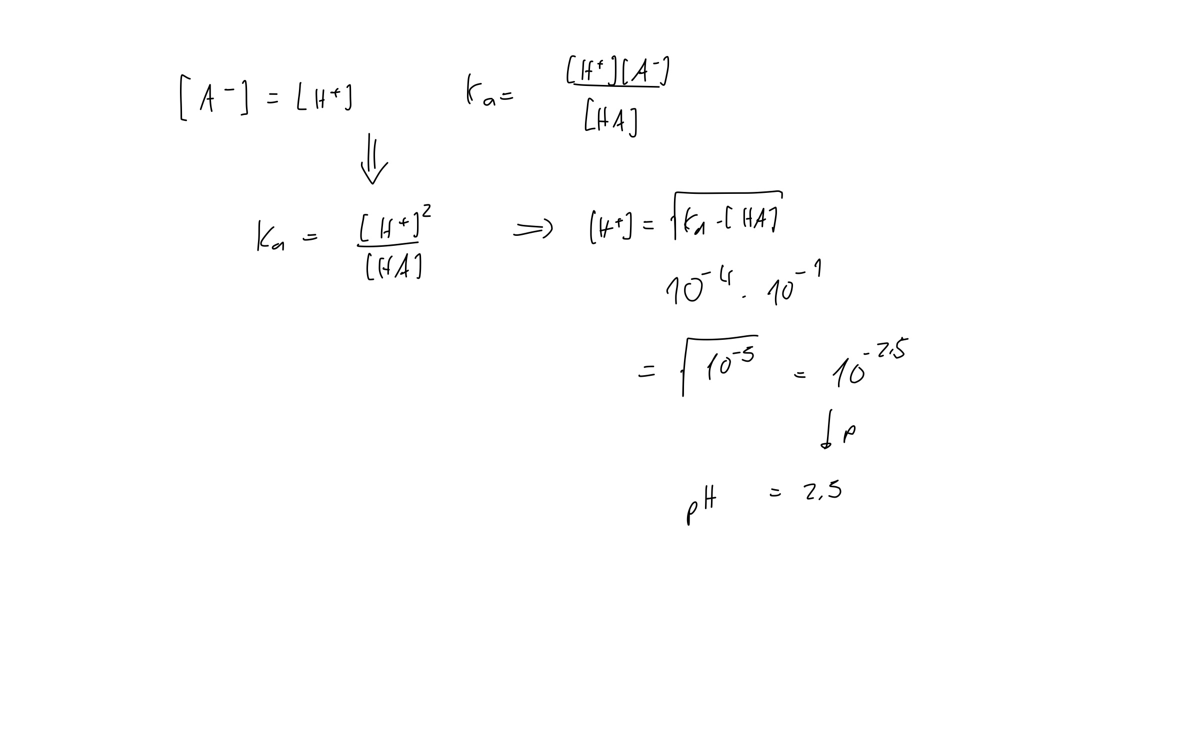
$\newcommand{\dede}[2]{\frac{\partial #1}{\partial #2} } \newcommand{\dd}[2]{\frac{d #1}{d #2}} \newcommand{\divby}[1]{\frac{1}{#1} } \newcommand{\typing}[3][\Gamma]{#1 \vdash #2 : #3} \newcommand{\xyz}[0]{(x,y,z)} \newcommand{\xyzt}[0]{(x,y,z,t)} \newcommand{\hams}[0]{-\frac{\hbar^2}{2m}(\dede{^2}{x^2} + \dede{^2}{y^2} + \dede{^2}{z^2}) + V\xyz} \newcommand{\hamt}[0]{-\frac{\hbar^2}{2m}(\dede{^2}{x^2} + \dede{^2}{y^2} + \dede{^2}{z^2}) + V\xyzt} \newcommand{\ham}[0]{-\frac{\hbar^2}{2m}(\dede{^2}{x^2}) + V(x)} \newcommand{\konko}[2]{^{#1}\space_{#2}} \newcommand{\kokon}[2]{_{#1}\space^{#2}} $ # Lektion ## Vereinfachungen ### Kubisch-Quadratisch-Linear: Wir verwenden meist die quadratische Approximation dh. wir vernachlässigen meist einen Parameter. #### Beispiel 1: $0.1 M$ Heptylamin (B) ($pKa=10.67$) I: $K_{b}=\ce{\frac{[BH+][OH-]}{[B]}}$ II: $\ce{[OH-] = [H+] + [BH+]}$ - Relativ hohe Konzentration an Base   - $\ce{[OH-]}$ kommt von Base   - II -> III: $\ce{[OH-] \approx [BH+]}$ IV: $\ce{[B_{zg}]= [B] + [BH+]}$ IV + II -> V: $\ce{[B_{zg}] - [OH-] = [B]}$ V + I + II -> VI: $K_{b}= \frac{[OH-]^{2}}{[B_{zg}] - [OH-]}$ $\ce{[OH-]^{2} + [OH-]K_{b} - K_{b}[B_{zg}] = 0}$ $\ce{[OH-]= \frac{1}{2}( -K_{b} + \sqrt{K_{b}^{2} + 4 K_{b}[B_{zg}]}})$ $\ce{[OH-]} \approx 6.61\cdot10^{-3}$ $pOH=2.18$ $pH = 11.82$ #### Beispiel 2: $1\cdot 10^{-6} M$ Heptylamin (B) ($pKa=10.67$) I: $K_{b}=\ce{\frac{[BH+][OH-]}{[B]}}$ II: $\ce{[OH-] = [H+] + [BH+]}$ III: $\ce{[B_{zg}]= [B] + [BH+]}$ Sehr wenig Base -> Basically vollständige Dissozation $\ce{[B]\approx 0}$ III -> IV: $\ce{[B_{zg}]=[BH+]}$ II+IV -> V: $\ce{[OH-] = [H+] + [B_{zg}]}$ 10x Mehr Heptylamin als $10^{-7}$ $\ce{[H+]}\approx 0$ VI: $\ce{[OH-]=[B_{zg}]}$ $pOH = -\log([B_{zg]}) = 6$ $pH = 14-6=8$ ## Verteilungsdiagramme (nicht super relevant) Wann ist was vorhanden? Kreuzung bei pKa (why? => Gleich viel im mwg einsetzen tada!) Mehrere pKas! Nahe Existenzgebiete (Mittelung der pH’s) ## Puffer: Säure bzw Base wird kompensiert via Reaktion: $\ce{H+_{neu} + A- -> HA}$ $\ce{OH-_{neu} + HA -> A- + H2O}$ Dies funktioniert am besten wenn $[HA] \approx [A^{-}]$ Also bei $pKa=pH$ ## Sillén-Diagramme Aka. **Bjerrum plot** aka. **Hägg diagram** Idee 1: Linien sind nice, kurven nicht! Idee 1.1: Schnittpunkte sind einfach zu bestimmen Idee 1.2: pKa easy ablesbar Idee 1.3: Vereinfachungen sind super easy # Umfrage https://forms.gle/dwXNFKEN23BbasrL7